Examen National Bac Maroc 2018 Math





Corrige De L Examen De Fin De Formation Tsgo Technicien Superieur Gros Oeuvre Ofppt Maroc Autocad Genies Civilization

Corrige De L Examen De Fin De Formation Tsgo Technicien Superieur Gros Oeuvre Ofppt Maroc Autocad Genies Civilization

148 افضل طريقة للحصول على 20 20 في مادة الفلسفة Bac 2018 Nationale Maroc Youtube Math Math Equations

148 افضل طريقة للحصول على 20 20 في مادة الفلسفة Bac 2018 Nationale Maroc Youtube Math Math Equations

شهادة إصدار الحوالة البريدية لدفع حقوق تسجيل باكالوريا Bac 2017 Rejection Blog Page

شهادة إصدار الحوالة البريدية لدفع حقوق تسجيل باكالوريا Bac 2017 Rejection Blog Page

Examen National Physique Chimie Sciences Maths 2018 Normale Corrige Alloschool

Examen National Physique Chimie Sciences Maths 2018 Normale Corrige Alloschool

Examen National Physique Chimie Sciences Maths 2018 Normale Sujet Alloschool

Examen National Physique Chimie Sciences Maths 2018 Normale Sujet Alloschool

Examen National Bac Maroc 2019 2003 Avec Correction In 2020

Examen National Bac Maroc 2019 2003 Avec Correction In 2020

Examen National Bac Maroc 2019 2003 Avec Correction In 2020

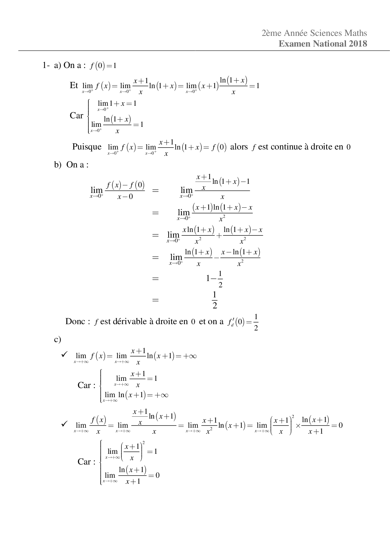
Examen National Mathematiques Sciences Maths 2018 Normale Corrige Alloschool

Examen National Mathematiques Sciences Maths 2018 Normale Corrige Alloschool

Bac Maroc 2018 Etude Math Kairouan Haffouz Facebook

Bac Maroc 2018 Etude Math Kairouan Haffouz Facebook

Bac Men Gov Ma 2020 In 2020 Governor Bac Man

Bac Men Gov Ma 2020 In 2020 Governor Bac Man

148 التكامل بالتجزئة و تطبيقاته Youtube Math Arabic Calligraphy Math Equations

148 التكامل بالتجزئة و تطبيقاته Youtube Math Arabic Calligraphy Math Equations

Epingle Sur Bestcours

Epingle Sur Bestcours

Bac Maths 2018 Maroc Pb 8 Youtube

Bac Maths 2018 Maroc Pb 8 Youtube

Concours D Acces Aux Grandes Ecoles D Ingenieurs Pour Les Titulaires Deug Deust Dut Ou Deup Es Sciences Ou Equivalent

Concours D Acces Aux Grandes Ecoles D Ingenieurs Pour Les Titulaires Deug Deust Dut Ou Deup Es Sciences Ou Equivalent

Examen National Mathematiques 2018 Normale 2 Bac Sciences Maths Biof Sujet Pdf

Examen National Mathematiques 2018 Normale 2 Bac Sciences Maths Biof Sujet Pdf

Pin By Almondo Devdas On Alwadifa Maroc Math Arabic Calligraphy Calligraphy

Pin By Almondo Devdas On Alwadifa Maroc Math Arabic Calligraphy Calligraphy

Bac Maths Maroc 2018 Sc Exp Ex3 Q1 Youtube

Bac Maths Maroc 2018 Sc Exp Ex3 Q1 Youtube

Liste Definitive Et Liste D Attente Technicien Niveau Bac Fabrication Mecanique Avec Images Fabrication Mecanique Mecanique Bac

Liste Definitive Et Liste D Attente Technicien Niveau Bac Fabrication Mecanique Avec Images Fabrication Mecanique Mecanique Bac

تصحيح امتحان الوطني 2018 لعلوم المهندس Science De L Ingenieur Ste Part 1 Youtube

تصحيح امتحان الوطني 2018 لعلوم المهندس Science De L Ingenieur Ste Part 1 Youtube

Livres Scientifiques Gratuits Mathematiques Data Science Math Science

Livres Scientifiques Gratuits Mathematiques Data Science Math Science

Cnc Marocain 2019 Mp Math 2 Exercice Partie 1 3 Youtube

Cnc Marocain 2019 Mp Math 2 Exercice Partie 1 3 Youtube